Skip to main content
Universität der Bundeswehr München
Suche
Intern
LRT 9.1 Raumfahrttechnik
Institut
Team
Forschung
Lehre
Aktuelles
LRT 9.2 Satellitennavigation
Historie und Expertise
Team
Forschung
Software Packages
Services
Lehre
Aktuelles
LRT 9.3 Erdbeobachtung
Institut
Team
Lehre
Publikationen
LRT 9.4 Satellitenbetrieb
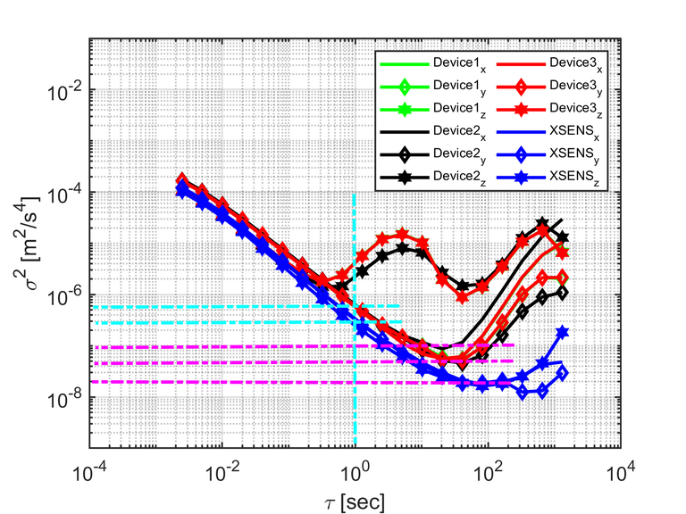
act3_figure1.png
Zeige Bild in voller Größe…
Größe: 230.4 KB