Research Focus

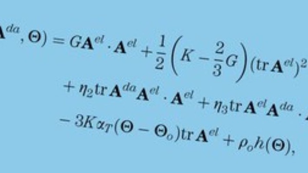
Continuum damage and failure models

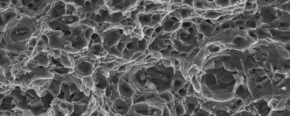
Based on experiments and numerical simulations on the microscale, phenomenological material models for metals and concretes are developed. These enable numerical simulations of the deformation and failure behavior of statically and dynamically loaded structures.

Development of new biaxial test bodies

Metallic specimens are developed, which are loaded in the biaxial machine until they break. As a result of different biaxial load applications, a wide range of different stress states arises, especially in the shear-tension and shear-compression range, which lead to various damage and failure mechanisms.

Finite element programs

Based on the developed material models, efficient finite element program routines are created, which are connected to the programs ANSYS and LS-Dyna.

Numerical simulations

Numerical simulations of static and dynamic loading processes are carried out, which reflect the behavior of test specimens, components and structures. These enable a detailed analysis of inelastic deformations and stress curves as well as damage to ultimate failure.