New paper regarding fracture simulation in additive manufacturing
2 April 2025
Our new article "A finite element approach for modelling the fracture behaviour of unidirectional FFF‑printed parts" was recently published open-access in the journal Progress in Additive Manufacturing.
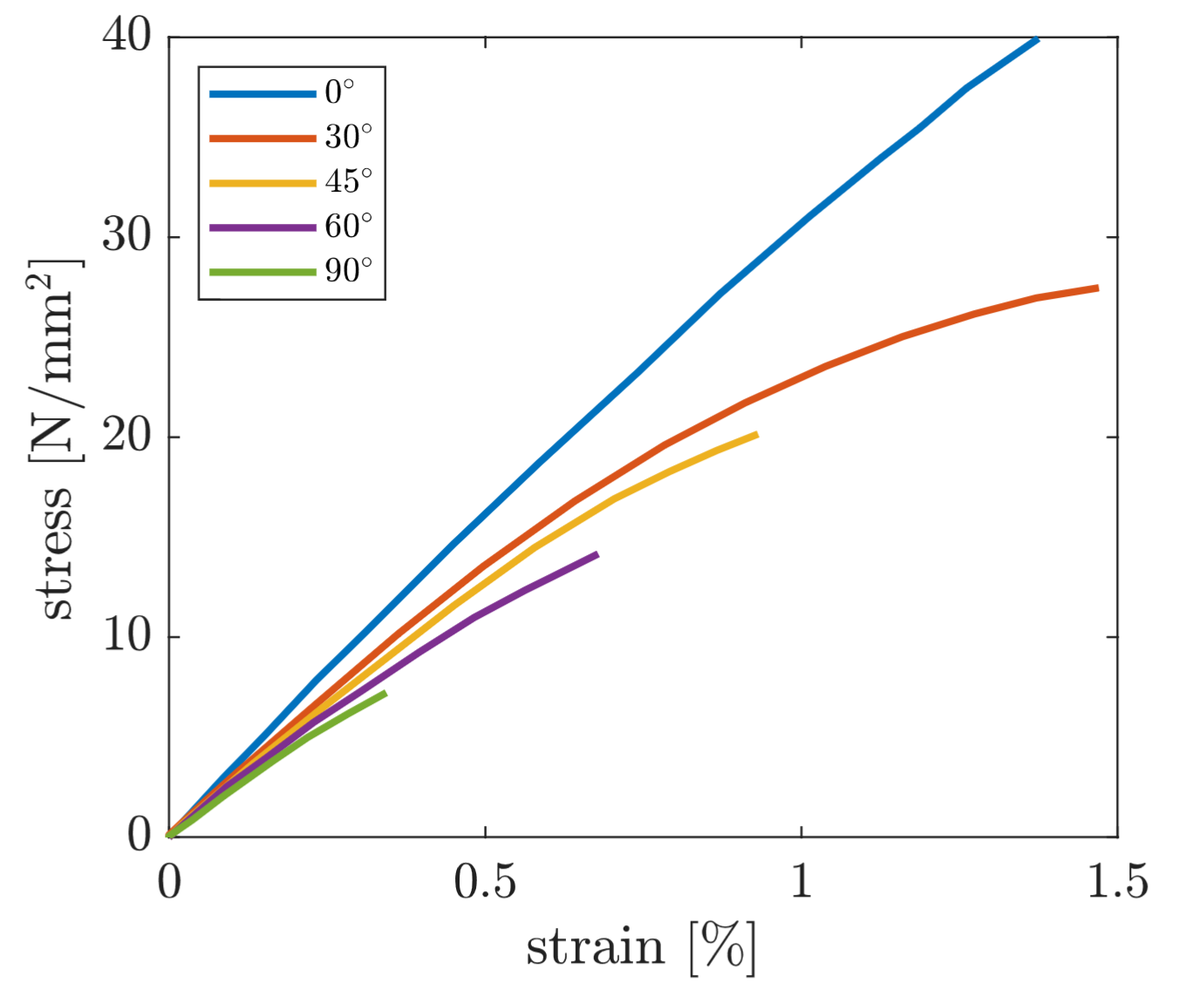
The paper deals with the mechanical simulation of 3D-printed filaments until failure. The influence of the orientation of the individual printed strands is analysed. Different modelling approaches are investigated.
Simon Seibel, Josef Kiendl (2025).
A finite element approach for modelling the fracture behaviour of unidirectional FFF‑printed parts
Progress in Additive Manufacturing.
Picture: Copyright © 2025, Simon Seibel, Josef Kiendl